티스토리 뷰
목차
[청담 르엘 로또 청약, 일반 분양 아파트]
24년 하반기 가장 기대되는 청약인
청담 르엘 청약이 다가왔습니다
(청약 일정 : 9월 19일 ~ 24일)
청담 르엘은 한강을 마주하는 리버뷰에, 초역세권의 장점을 가지고 있습니다
게다가 시세차익은 약 10억 정도로 예상되고 있습니다
좋은 거주환경에 엄청난 시세차익까지 기대되는 좋은 기회이니
이번 기회를 절대 놓치면 안되겠습니다!!
우선 아래버튼으로 모집공고 확인가능합니다!
자, 지금부터 청약 당첨을 위해
함께 내용을 꼼꼼하게 살펴보도록 할까요?
1. 청약단지 정보
- 단지명 : 청담 르엘
- 규모 : 지하 4층 ~ 지상 35층, 9개동, 총 1,261세대
- 타입 : 49㎡, 59㎡, 84㎡, 97㎡, 111㎡, 136㎡, 151㎡, 172㎡, 200㎡, 202㎡, 218㎡
- 입주시기 : 25년 11월 예정
이번 청담 르엘 공급대상 정보는 다음과 같습니다.
[청담 르엘 공급대상]

이번엔 주변 입지를 함께 살펴볼까요?
아래 버튼으로 추가 입지정보 확인가능합니다!
2. 평면도
아래 청담 르엘의 평면도에서 발코니 확장비 등
유상옵션 선택도 가능합니다.
청담 르엘의 타입별 평면도는 아래와 같습니다.
[59A 평면도]
[59B 평면도]
[84A 평면도]
[84B 평면도]
[84C 평면도]
거실, 방 배치를 자세히 확인하고 싶으시면
아래 링크에서 간편하게 보실 수 있습니다.
아래 버튼으로 온라인 모델하우스 확인 가능합니다!
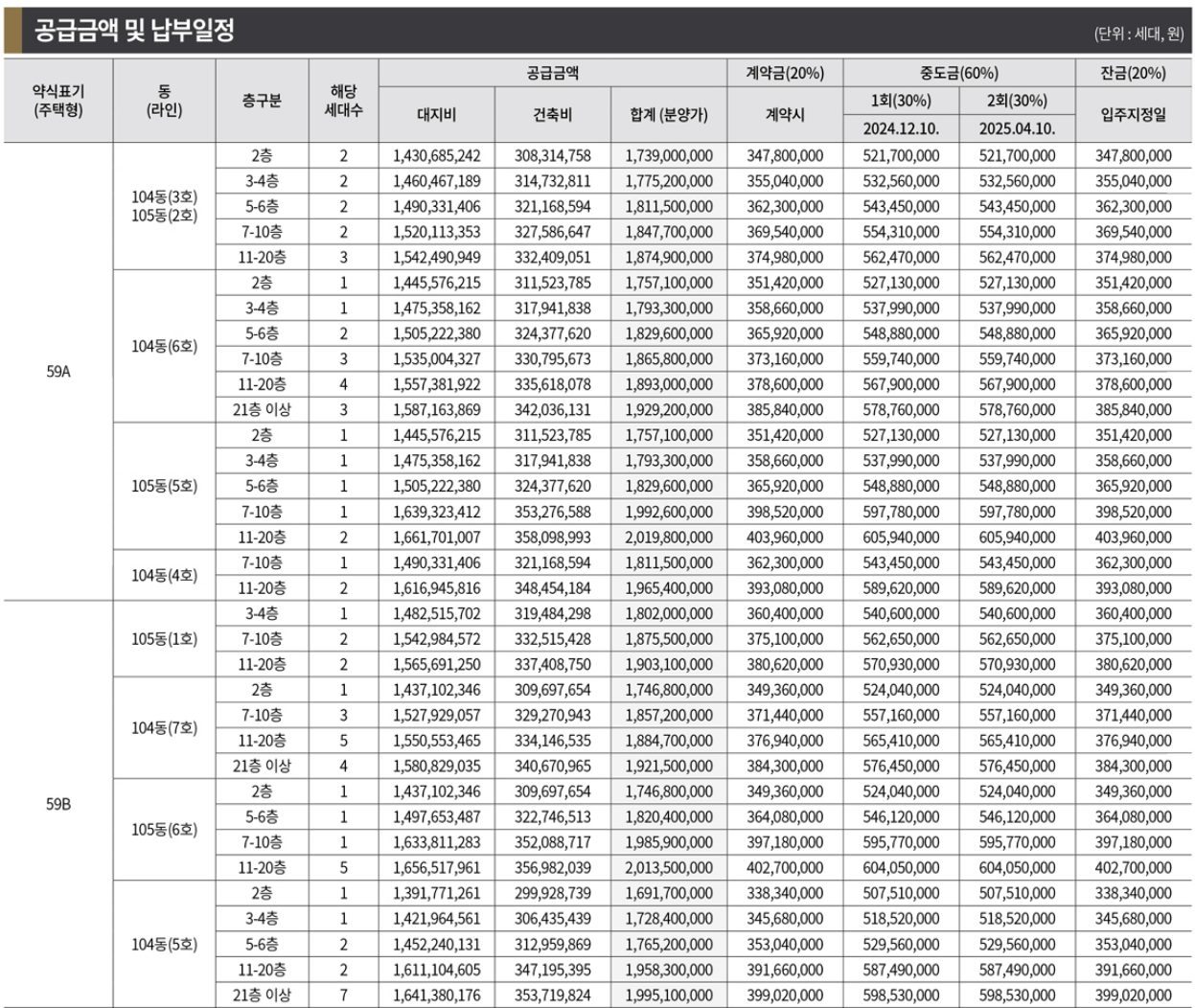
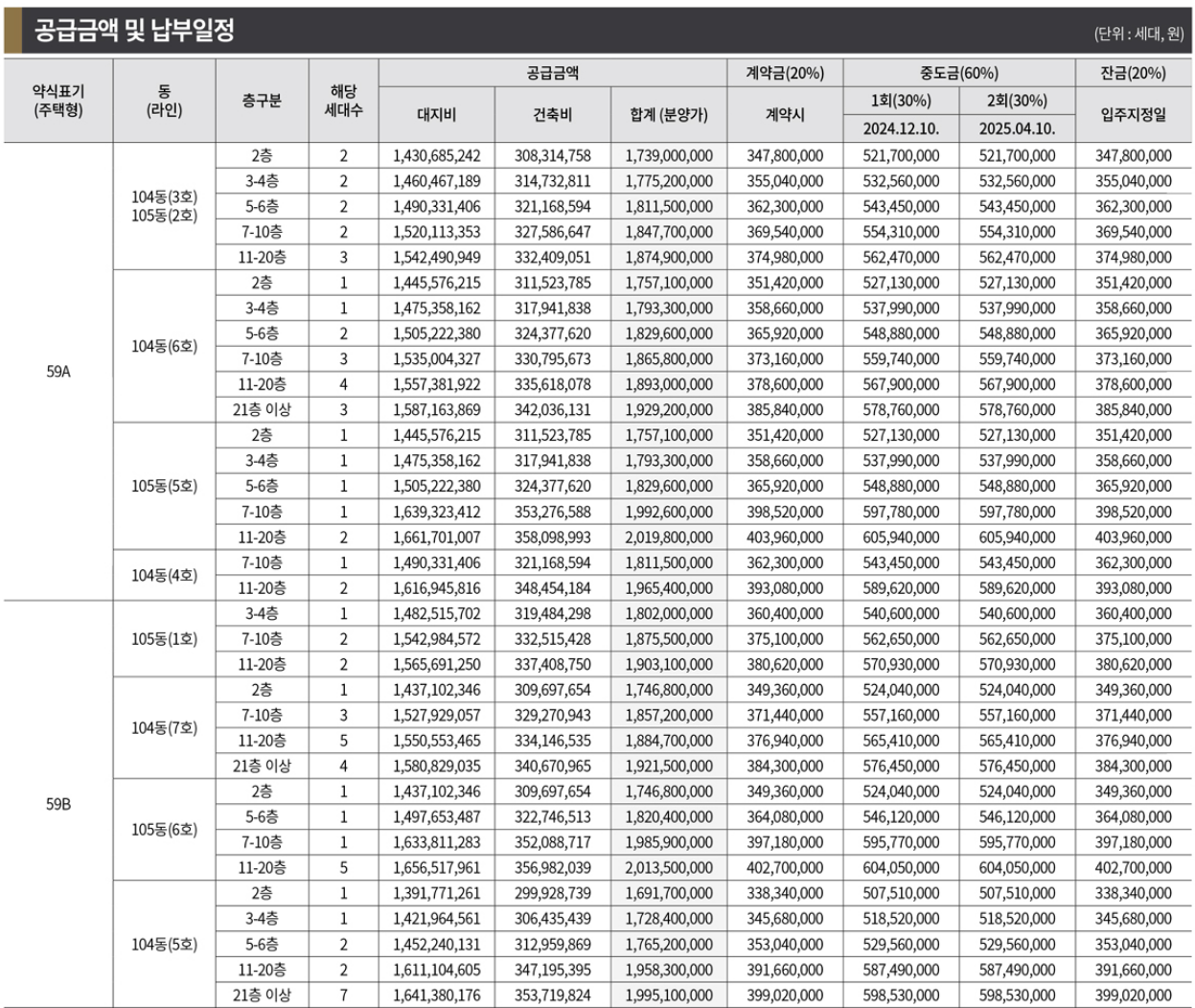
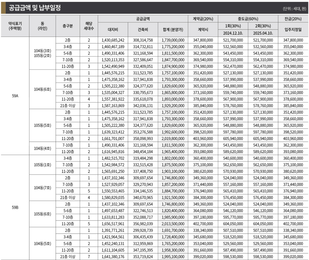
3. 분양가격
청담 르엘 분양가를 요약하면 다음과 같습니다.
- 전용 59㎡ : 17.3억 ~ 20.1억
- 전용 84㎡ : 22.6억 ~ 25.4억
분양금 납부는
계약금 20%(계약시), 중도금 60%(30%씩 2회), 잔금 20%(입주지정일) 입니다.
자세한 내용은 아래 표에서 확인이 가능합니다.
[공급금액 및 납부일정]


청담 르엘은 아래 버튼으로 청약신청 가능합니다!
4. 시세차익
청담 르엘 주변 82㎡ 아파트의 시세가
약 33억 으로 거래되는 것을 보아,
약 10억 정도 시세차익을 기대해볼 수 있겠습니다.
(84㎡ 분양가 : 22.6억 ~ 25.4억)
아래 버튼으로 주변시세를 자세히 확인해볼까요?
5. 일정
청담 르엘의 주요 일정은 다음과 같습니다.
- 특별공급 : 9월 19일 (목)
- 일반공급 1순위 : 9월 20일 (금) ~ 23일 (월)
- 일반공급 2순위 : 9월 24일 (화)
- 당첨자발표 : 9월 30일 (월)
- 계약계약 : 10월 14일 (월) ~ 16일 (수)
재당첨 제한 10년, 전매제한 3년, 거주의무기간 없음입니다.
청담 르엘은 투기/청약 과열지역이므로 계약금 대출 등
계획을 일정에 맞게 꼼꼼히 세우시기 바라겠습니다.
아래 버튼으로 청약일정 캘린더 확인 가능합니다!
6. 자격조건
입주자모집공고일(9/6) 당시,
- 서울시에 거주하거나 수도권(경기도 및 인천광역시)에 거주하는 만 19세 이상인 분 또는 세대주인 미성년자
- 순위별 청약통장 자격요건을 만족하는 분 (1순위는 아래 예치금액 참조. 2순위는 가입만 해도 가능)

청담 르엘은 투기/청약과열지구이기 때문에
추가로 아래 조건을 만족해야 1순위 신청이 가능합니다.
- 세대주일 것
- 2주택 이상을 소유한 세대에 속하지 말 것
- 과거 5년 이내 당첨된 분의 세대에 속하지 않을 것
특별공급의 경우 항목별 내용이 너무 상이한 관계로,
아래 입주자 모집 공고 10 페이지부터 참조해 주시면 감사하겠습니다.
아래 모집공고에서 특별공급 정보확인 가능합니다!
7. 당첨자 선정
일반공급 당첨자 선정 순서는 다음과 같습니다.
- 1순위 가점제 : ①지역 → ②가점 → ③청약통장 가입기간 → ④추첨
- 1순위 추첨제 : ①지역 → ②무주택자 우선공급 → ③추첨
- 2순위 : ①지역 → ②추첨
* 지역 : 해당지역 거주자(서울시 2년 이상 계속 거주자)
→ 기타 지역 거주자(서울시 2년 미만 및 경기도, 인천광역시 거주자)
전용면적별 1순위 가점제/추첨제 적용비율은 다음과 같습니다.

가점 산정기준은 다음과 같습니다.

아래 버튼으로 간편하게 가점계산 가능합니다!
당첨자 발표일은 9월 30일(월) 이며, 청약홈에서 발표 됩니다.
아래버튼으로도 간편하게 당첨확인 가능합니다!
오늘도 긴 글 읽어주셔서 감사드립니다.
당첨되시면 발코니 확장비를 포함해서
아파트 계약금 대출을 고려하시기 바랍니다.
그리고 아파트 홈페이지나 아파트 커뮤니티에
가입하시어 유용한 정보를 바로 받아보시는게
큰 도움이 될 수 있습니다.
이번 청담 르엘 청약에서 모든 분들에게 행운이
가득하시길 진심으로 기원합니다.
항상 좋은 하루 되십시오 🍀 🎁



































